Получение глюкозы
В присутствии кислот крахмал гидролизуется:
(C6H10O5)n + nH2O → nC6H12O6
Реакция была впервые изучена А.М. Бутлеровым. Синтез проходит в присутствии гидроксида кальция:
6CH2=On → C6H12O6
Фотосинтез
В растениях углеводы образуются в результате реакции фотосинтеза из CO2 и Н2О:
6CO2 + 6H2O → C6H12O6 + 6O2
Фруктоза
| Фруктоза — структурный изомер глюкозы. Это кетоноспирт (кетоза): она тоже может существовать в циклических формах (фуранозы). |
Углеводы
Она содержит шесть атомов углерода, одну кетоновую группу и пять гидроксогрупп.
| Фруктоза | α-D-фруктоза | β-D-фруктоза |
Фруктоза – кристаллическое вещество, хорошо растворимое в воде, более сладкое, чем глюкоза.
В свободном виде содержится в мёде и фруктах.
Химические свойства фруктозы связаны с наличием кетонной и пяти гидроксильных групп.
При гидрировании фруктозы также получается сорбит.
| Дисахариды – это углеводы, молекулы которых состоят из двух остатков моносахаридов, соединенных друг с другом за счет взаимодействия гидроксильных групп (двух полуацетальных или одной полуацетальной и одной спиртовой). |
Противопоказания и вред солодового сахара
При дефиците ферментов а-глюкозидазы и мальтазы мальтоза организмом не усваивается. Тогда приходится переходить на специфическую диету, исключив из рациона углеводную растительную пищу и крахмалистые вещества, или принимать медицинские препараты.
Продукт, который вырабатывается на небольших пивоварнях, может спровоцировать аллергию при непереносимости исходного сырья. В этом случае придется отказаться от «живого пива» или домашнего кваса, изготовленных небольшими партиями частными предпринимателями.
Вред солодовый сахар может вызвать при переедании. Признаки ухудшения состояния следующие:
- пищеварительные расстройства и повышенный метеоризм;
- сухость во рту и тошнота;
- нарушение белково-углеводного обмена;
- дисфункция сердечно-сосудистой системы, повышение артериального давления, развитие атеросклероза;
- быстро прогрессирующее ожирение;
- снижение иммунитета, частые воспалительные процессы;
- приступы головной боли;
- появление сахарного диабета и нарушение работы поджелудочной железы.
Суточная норма солодового сахара для человека, который ведет активный образ жизни, составляет 35 г, остальным желательно ограничить «дозу» 20 г в сутки. Тем, кто перешел на мальтозу, от сладостей остальных видов придется отказаться.
Углеводы. Генетический D- ряд сахаров
«Углеводы широко распространены в природе и выполняют в живых организмах различные важные функции. Они поставляют энергию для биологических процессов, а также являются исходным материалом для синтеза в организме других промежуточных или конечных метаболитов. Углеводы имеют общую формулу Cn(H2O)m, откуда и возникло название этих природных соединений.
В зависимости от числа атомов углерода в молекуле моносахарид называется тетрозой, пентозой, гексозой и т.д. Если объединить последние два типа классификации, то глюкоза – это альдогексоза, а фруктоза – кетогексоза. Большинство встречающихся в природе моносахаридов – это пентозы и гексозы.
Относительная конфигурация моносахаридов определяется по конфигурационному стандарту – глицериновому альдегиду, которому еще в конце прошлого столетия произвольно были приписаны определенные конфигурации, обозначенные как D- и L- глицериновые альдегиды. С конфигурацией их асимметрических атомов углерода сравнивается конфигурация наиболее удаленного от карбонильной группы асимметрического атома углерода моносахарида. В пентозах таким атомом является четвертый атом углерода (С4), в гексозах – пятый (С5), т.е. предпоследние в цепи углеродных атомов. При совпадении конфигурации этих атомов углерода с конфигурацией D- глицеринового альдегида моносахарид относят к D- ряду. И, наоборот, при совпадении с конфигурацией L- глицеринового альдегида считают, что моносахарид принадлежит к L- ряду. Символ D означает, что гидроксильная группа при соответствующем асимметрическом атоме углерода в проекции Фишера располагается справа от вертикальной линии, а символ L- что гидроксильная группа расположена слева.
Олигосахариды. Дисахариды
Олигосахариды – это продукты конденсации двух или нескольких молекул моносахаридов. Наиболее распространёнными из олигосахаридов являются дисахариды и трисахариды.
Дисахариды – это углеводы, которые при нагревании с водой в присутствии минеральных кислот или под влиянием ферментов подвергаются гидролизу, расщепляясь на две молекулы моносахаридов.
Дисахариды – соединения, молекулы которых состоят из остатков двух моносахаридов, связанных между собой гликозидной связью.
Примером наиболее распространенных в природе дисахаридов являются сахароза (свекловичный или тростниковый сахар), мальтоза (солодовый сахар), лактоза (молочный сахар).
Все они являются изомерами и имеют общую формулу С12Н22О11, однако их строение различно.
Учебный фильм «Углеводы. Дисахариды»
Строение дисахаридов
Молекулы дисахаридов могут содержать два остатка одного моносахарида или два остатка разных моносахаридов.
В образовании гликозидной связи одна молекула моносахарида всегда участвует своим полуацетальным (гликозидным) гидроксилом, а другая – либо полуацетальным, либо любым спиртовым гидроксилом.
Связи, образующиеся между остатками моносахаридорв, могут быть двух типов:
- Связь, в образовании которой принимают участие полуацетальные гидроксилы обеих молекул моносахаридов.
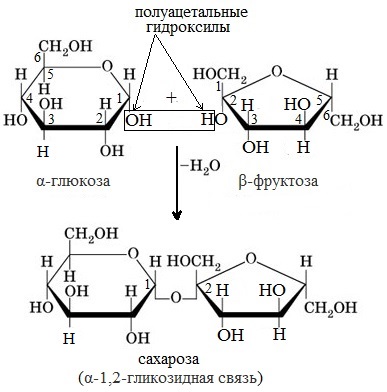
Например, образование молекулы сахарозы:
- Связь, в образовании которой принимают участие полуацетальный гидроксил одного моносахарида и спиртовый гидроксил другого моносахарида.
Например, образование молекул мальтозы и лактозы:
Отсутствие или наличие в молекулах дисахаридов полуацетального гидроксила отражается на их свойствах.
По типу дисахаридов построены молекулы других олигосахаридов и полисахаридов.
Классификация дисахаридов
Дисахариды подразделяются на две группы: восстанавливающие и невосстанавливающие.
Как видно из приведенных выше структурных формул дисахаридов, в молекулах мальтозы и лактозы сохраняется один полуацетальный гидроксил. Этот гидроксил в результате таутомерного превращения может образовывать альдегидную группу. Поэтому мальтоза и лактоза способны окисляться, т.е. обладают восстановительными свойствами (в частности, вступают в качественные реакции с Ag2O, Cu (OH)2). Дисахариды этого типа называются восстанавливающими.
Сахароза не содержит в своей структуре полуацетального гидроксила и относится к невосстанавливающим дисахаридам.
Биологическая роль дисахаридов
Дисахариды (сахароза, мальтоза) служат источниками глюкозы для организма человека, сахароза к тому же важнейший источник углеводов (она составляет 99,4%, от всех получаемых организмом углеводов). Лактоза используются для диетического детского питания.
Распространение в природе
Самый распространенный и важный дисахарид – сахароза. Это химическое название обычного сахара, который получают экстракцией из сахарной свеклы или сахарного тростника. Сахароза – главный источник углеводов в пище человека.
Лактоза – содержится в молоке ( от 2% до 8%) и получается из молочной сыворотки. Лактоза является основным углеводом молока и молочных продуктов. Ее роль весьма значительна в раннем детском возрасте, когда молоко служит основным продуктом питания.
Она применяют для приготовления питательных сред, например при производстве пенициллина.
Мальтоза содержится в проросших зернах (солоде) хлебных злаков, меде, патоке и продуктах, изготовляемых с добавлением патоки (хлебобулочные, кондитерские изделия). Мальтоза также образуется при ферментативном гидролизе крахмала.
Мальтоза легко усваивается организмом человека.
Физические свойства дисахаридов
Дисахариды – твердые кристаллические вещества, имеющие сладкий вкус. Хорошо растворимые в воде, плохо — в спирте и практически нерастворимы в неполярных органических растворителях.
Рубрики: Углеводы Теги: Углеводы
Функции сахарозы в организме человека
Сахароза – основной поставщик энергии в клетки организма, для головного мозга – единственный. Она легко усваивается.
Также сахароза в организме человека выполняет другие функции:
- Обеспечивает нормальное протекание обменных процессов в организме.
- Нормализует и улучшает нервную деятельность.
- Стимулирует выработку инсулина.
- Питая мышечные клетки, обеспечивает движение.
- Осуществляет детоксикацию при заболеваниях, вызывающих накопление токсинов.
- Обеспечивает питание, улучшает работу головного мозга.
- Повышает умственную и физическую активность.
- При взаимодействии глюкозы с кислородом обеспечивает питание красных кровяных телец.
- Улучшает защитную функцию печени.
Поступление этого углевода нормализует деятельность всех органов и систем, поэтому улучшает состояние всего организма. Также утоляет голод, повышает настроение.
Такие функции выполнимы, если сахароза поступает в организм постепенно небольшими порциями. Потребление большого количества вещества приводит к мгновенному повышению показателя глюкозы в крови. Появляется активность, прилив сил.
Поджелудочная железа активно продуцирует гормон – инсулин, который способствует переработке глюкозы, ее уровень резко понижается. Это приводит к проявлению чувства усталости, разбитости, раздражительности, голода. Такой результат скачков уровня сахара в крови.
Химический состав и калорийность
Полезное действие мальтозы на организм обусловлено химическим составом продукта. В солодовом сахаре присутствуют:
- витамины группы В;
- никотиновая кислота;
- калий и натрий;
- биотин;
- магний и кальций;
- кремний;
- витамин Е;
- цинк и селен;
- йод;
- фосфор.
Энергетическая ценность продукта довольно высокая — 362 калории на 100 г. Около 95,3 г от общего объема занимают углеводы, белков и жиров в солодовом сахаре не присутствует.
Внимание! Мальтоза является консервантом и помогает продлевать сроки годности продуктов питания.
Вкусовые качества
По вкусу мальтоза напоминает обычную сахарозу, изготовленную из свеклы или тростника, но обладает меньшей насыщенностью и не имеет приторности. В соответствии с условной шкалой сладости солодовый сахар получает всего 32 балла. Сахарозу тем временем оценивают в 100 баллов.
II. Реакции по гидроксильным группам
1.Алкилирование (образование простых эфиров).
|
a, D- глюкопираноза |
+ СH3ОН |
HCl(газ) –––– |
метил- a,D- глюкопиранозид |
+ H2О |
|
СH3I –––– NaOH |
пентаметил- a,D- глюкопираноза |
2.Ацилирование (образование сложных эфиров).
|
–––––––– |
пентаацетил- a,D- глюкопираноза |
Вопрос 2. Дисахариды
Образование гликозидов
Гликозидная связь имеет важное биологическое значение, потому что именно с помощью этой связи осуществляется ковалентное связывание моносахаридов в составе олиго- и полисахаридов. При образовании гликозидной связи аномерная ОН-группа одного моносахарида взаимодействует с ОН-группой другого моносахарида или спирта
При этом происходит отщепление молекулы воды и образование О-гликозидной связи. Все линейные олигомеры (кроме дисахаридов) или полимеры содержат мономерные остатки, участвующие в образовании двух гликозидных связей, кроме концевых остатков. Некоторые гликозидные остатки могут образовывать три гликозидные связи, что характерно для разветвленных олиго- и полисахаридов. Олиго- и полисахариды могут иметь концевой остаток моносахарида со свободной аномерной ОН-группой, не использованной при образовании гликозидной связи. В этом случае при размыкании цикла возможно образование свободной карбонильной группы, способной окисляться. Такие олиго- и полисахариды обладают восстанавливающими свойствами и поэтому называются восстанавливающими или редуцирующими.
Рисунок — Строение полисахарида.
А. Образование a-1,4- и a-1,6-гликозидных связей.
Б. Строение линейного полисахарида:
1 – a-1,4-гликозидные связи между маномерами;
2 – не восстанавливающий конец (не возможно образование свободной карбонильной группы у аномерного углевода);
3 – восстанавливающий конец (возможно размыкание цикла с образованием свободной карбонильной группы у аномерного углерода).
Аномерная ОН-группа моносахарида может взаимодействовать с NH2-группой других соединений, что приводит к образованию N-гликозидной связи. Подобная связь присутствует в нуклеотидах и гликопротеинах.
Рисунок — Структура N-гликозидной связи
Вопрос 2. Дисахариды
Олигосахариды содержат от двух до десяти остатков моносахаридов, соединённых гликозидной связью. Дисахариды – наиболее распространённые олигомерные углеводы, встречающиеся в свободной форме, т.е. не связанной с другими соединениями. По химической природе дисахариды представляют собой гликозиды, которые содержат 2 моносахарида, соединённые гликозидной связью в a- или b-конфигурации. В пище содержатся в основном такие дисахариды, как сахароза, лактоза и мальтоза.
Рисунок — Дисахариды пищи
Сахароза –дисахарид, состоящий из a-D-глюкозы и b-D-фруктозы, соединенных a,b-1,2-гликозидной связью. В сахарозе обе аномерные ОН-группы остатков глюкозы и фруктозы участвуют в образовании гликозидной связи. Следовательно, сахароза не относится к восстанавливающим сахарам. Сахароза – растворимый дисахарид со сладким вкусом.
Физические свойства
Белый кристаллический порошок с ароматом арахисовой карамели. PH 5,3. слабо кислая реакция. Может быть чувствительным к длительному воздействию света и воздуха. Несколько растворим в воде при комнатной температуре. Свободно растворим в горячей и слабо растворим в холодной воде.
Реагирует с основаниями. Может реагировать с восстановителями. Производится из коры лиственницы, сосновых иголок, дерева цикория, масел и жареного солода; а также он может быть синтетически синтезирован.
Е636 лучше избегать таким группам населения: новорожденные, дети до 6 месяцев, беременные, и люди, с повышенной индивидуальной чувствительностью к мальтолу.
Источники и поглощение [ править ]
Мальтозный сироп
Мальтоза — компонент
солода
, вещество, получаемое в процессе размягчения зерна в воде и прорастания. Он также присутствует в очень различных количествах в частично гидролизованных крахмальных продуктах, таких как
мальтодекстрин
,
кукурузный сироп
и разбавленный кислотой крахмал.
У человека мальтоза расщепляется различными ферментами мальтазы, образуя две молекулы глюкозы, которые могут быть
переработаны
: либо расщеплены для получения энергии, либо сохранены в виде гликогена. Недостаток фермента сахароза
-изомальтаза
у людей вызывает
непереносимость сахарозы
, но поскольку существует четыре различных фермента мальтазы, полная непереносимость мальтозы встречается крайне редко.
Credits
New World Encyclopedia writers and editors rewrote and completed the Wikipedia article in accordance with New World Encyclopedia standards. This article abides by terms of the Creative Commons CC-by-sa 3.0 License (CC-by-sa), which may be used and disseminated with proper attribution. Credit is due under the terms of this license that can reference both the New World Encyclopedia contributors and the selfless volunteer contributors of the Wikimedia Foundation. To cite this article click here for a list of acceptable citing formats.The history of earlier contributions by wikipedians is accessible to researchers here:
Maltose history
The history of this article since it was imported to New World Encyclopedia:
History of «Maltose»
Note: Some restrictions may apply to use of individual images which are separately licensed.
Полезные свойства мальтозы и ее влияние на организм
Мальтоза является отличным источником энергии. По информации из медицинских источников, мальтоза является для организма более полезным веществом, чем фруктоза и сахароза. Она входит в состав блюд, предназначенных для диетического питания. Крокеты, мюсли, хлебцы, некоторые виды хлеба и кондитерские изделия производятся с добавлением мальтозы.
Солодовый (мальтозный) сахар содержит ряд жизненно-важных веществ: витамины группы B, аминокислоты, микроэлементы калий, цинк, фосфор, магний и железо. Из-за большого количества органических веществ такой сахар долго храниться не может.
Взаимодействие с эссенциальными элементами
Мальтоза растворима в воде. Взаимодействует с витаминами группы B и некоторыми микроэлементами, а также с полисахаридами. Усваивается только в присутствии специальных пищеварительных ферментов.
Признаки нехватки мальтозы в организме
Энергетическое истощение является первым признаком нехватки сахаров в организме. Слабость, нехватка сил, подавленное настроение – это первые симптомы того, что организму срочно нужна энергия.
Общих признаков мальтозной недостаточности в организме выявлено не было.Это связанно с тем, что наш организм способен самостоятельно вырабатывает это вещество из гликогена, крахмала и других полисахаридов.
Факторы, влияющие на содержание мальтозы в организме
Правильное функционирование организма и состав продуктов питания влияют на содержание мальтозы в нашем организме. Кроме того, на количество мальтозы влияют физические нагрузки, которые не должны быть чересчур большими, но и не маленькими.
Мальтоза – польза и вред для здоровья
На сегодняшний день свойства мальтозы еще недостаточно хорошо изучены. Одни ратуют за ее употребление, другие заявляют, раз она получается с применением химических технологий – она вредна. Медики же лишь предупреждают, что чрезмерное увлечение мальтозой может нанести вред нашему организму.
Мы собрали самые важные моменты о мальтозе в этой иллюстрации и будем благодарны, если вы поделитесь картинкой в социальной сети или блоге, с ссылкой на эту страницу:
Взаимодействие с концентрированной серной кислотой
Концентрированная серная кислота отнимает воду от углеводов, при этом образуется углерод С («обугливание») и вода.
| Например, при действии концентрированной серной кислоты на глюкозу образуются углерод и вода |
C6H12O6 → 6C + 6H2O
Моносахариды
| Моносахариды – гетерофункциональные соединения, в состав их молекул входит одна карбонильная группа (группа альдегида или кетона) и несколько гидроксильных. |
Моносахариды являются структурными звеньями олигосахаридов и полисахаридов.
Важнейшие моносахариды
| Название и формула | Глюкоза
C6H12O6 |
Фруктоза
C6H12O6 |
Рибоза
C5H10O5 |
| Структурная формула | |||
| Классификация |
|
|
|
Глюкоза
Глюкоза – это альдегидоспирт (альдоза).
Она содержит шесть атомов углерода, одну альдегидную и пять гидроксогрупп.
Глюкоза существует в растворах не только в виде линейной, но и циклических формах (альфа и бета), которые являются пиранозными (содержат шесть звеньев):
| α-глюкоза | β-глюкоза |
Химические свойства дисахаридов:
Основные химические реакции дисахаридов следующие:
1. реакция гидролиза дисахаридов:
При гидролизе дисахариды расщепляются на составляющие их моносахариды за счёт разрыва гликозидных связей между ними. Данная реакция является обратной процессу образования дисахаридов из моносахаридов.
Гидролиз протекает в кислой среде и (или) при нагревании.
C12H22O11 + H2O → 2C6H12O6 (to, Н+).
В результате гидролиза α-мальтозы образуются две молекулы глюкозы.
C12H22O11 + H2O → C6H12O6 + C6H12O6 (to, Н+).
В результате гидролиза лактозы образуются глюкоза и галактоза.
C12H22O11 + H2O → C6H12O6 + C6H12O6 (to, Н+).
В результате гидролиза сахарозы образуются глюкоза и фруктоза.
2. восстанавливающие дисахариды – мальтоза, лактоза и целлобиоза – реагируют с аммиачным раствором оксида серебра:
C12H22O11 + Ag2O → C12H22O12 + 2Ag (в аммиачном растворе (NH3)).
В результате реакции образуется среди прочего чистое серебро. Если реакция проводится в сосуде с чистыми и гладкими стенками, то серебро осаждается на них в виде тонкой плёнки, образуя зеркальную поверхность. При наличии малейших загрязнений серебро выделяется в виде серого рыхлого осадка.
3. восстанавливающие дисахариды – мальтоза, лактоза и целлобиоза – могут восстанавливать гидроксид меди (II) до оксида меди (I):
C12H22O11 + 2Cu(OH)2 → C12H22O12 + Cu2O + 2H2O.
В результате реакции образуются среди прочего оксида меди (I) и вода.
4. невосстанавливающие дисахариды не реагируют с аммиачным раствором оксида серебра и не восстанавливают гидроксид меди (II) до оксида меди (I), т.к. не содержат полуацетальные гидроксилы.
High-Maltose Corn Syrup vs. High-Fructose Corn Syrup
There is a maltose substitute for high-fructose corn syrup (HFCS): high-maltose corn syrup (HMCS). When high-fructose corn syrup started to get such a bad reputation, food and beverage manufacturers started to use HMCS instead. As with HFCS, it not only adds sweetness, but also texture and extends the shelf life of a product.
Maltose and fructose can both be made from corn sugar. The biggest difference between these two corn syrups is that the maltose version is slightly less sweet and doesn’t contain any fructose. However, both HMCS and high-fructose corn syrup are refined products made from corn, and some sources say that over 90 percent of the corn in North America is genetically modified.
While more research on the health effects of HMCS is warranted, both maltose and fructose corn syrups that are highly refined and corn-based are forms of added sugar, which experts clearly advise limiting or avoiding consumption entirely as part of a healthy diet.
Источники и поглощение
Мальтозный сироп
Мальтоза входит в состав солод, вещество, получаемое в процессе размягчения зерна в воде и прорастания. Он также присутствует в сильно изменяющихся количествах в частично гидролизованных крахмальных продуктах, таких как мальтодекстрин, кукурузный сироп и крахмал, разбавленный кислотой.
У человека мальтоза расщепляется различными ферментами мальтазы, образуя две молекулы глюкозы, которые могут быть дальнейшая обработка: либо расщепляется для получения энергии, либо хранится в виде гликогена. Отсутствие сахароза-изомальтаза фермент в организме человека вызывает непереносимость сахарозы, но поскольку существует четыре различных фермента мальтазы, полная непереносимость мальтозы встречается крайне редко.
High Maltose Corn Syrup and High Fructose Corn Syrup
Some people think table sugar is healthier than high fructose corn syrup. In fact, the fructose content is very similar.
High fructose corn syrup is about 55% fructose and 45% glucose, while table sugar is exactly 50% glucose and 50% fructose.
This small difference doesn’t make table sugar any healthier than high fructose corn syrup.
Food companies are trying to avoid the increasing negative perception of fructose by using high maltose corn syrup instead of high fructose corn syrup.
Maybe they can be right to do this. Maltose It may be a slightly healthier option if used instead of the same amount of fructose.
Usually, high maltose and high fructose corn syrup can be used interchangeably in a 1: 1 ratio, but may vary in individual products.
Fructose being a little worse maltoseIt must be said that it does not ensure that flour is healthy. MaltoseRemember that the flour still contains sugar and should be used in moderation.
What Is Maltose?
Some foods naturally maltose includes. These include wheat, cornmeal, barley, and a few grains. Many breakfast cereals also use malt grains to add natural sweetness.
Fruits, maltoseIt is another source of flour, especially peaches and pears. Sweet potatoes more than any other food maltose contains and has gained its sweet flavor.
Most syrups get their sweetness from maltose. High maltose corn syrup, 50% or more of sugar maltose provides shape. It is useful in hard candy and cheap confectionery.
The maltose content increases significantly when certain fruits are in canned or juice form.
Beverages containing maltoseincludes non-alcoholic malt beverages, as well as some beer and cider. Malt is among processed foods high in sugar maltose candies (usually jelly candies), some chocolates and ready-to-eat cereals, as well as caramel sauce.
High maltose corn syrup, barley malt syrup, brown rice syrup, and corn syrup are also high in malt sugar.
The best resources are:
— baked sweet potatoes
— baked pizza
— Cooked wheat cream
— Canned Pear
— Guava nectar
Canned peaches
Canned Apple Puree
— Sugar cane
Some cereals and energy bars
Malt drinks


